<=Back

<=KNEC Craft Certificate in ICT module 2 structured programming past paper: November 2016

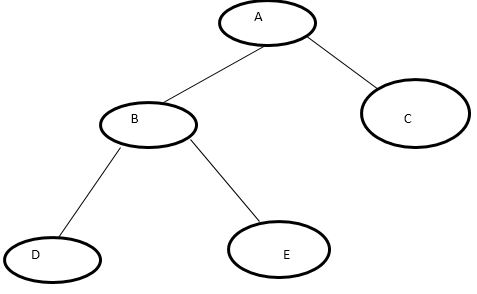
Figure 1 shows a binary tree drawn by a student during a lesson. Use it to answer the question that follows.
binary-tree.JPG
(i)State the relationship that exists in each of the following nodes:
(I)Node 2 and node 9 with respect to node 6;
(II)Node 3 with respect to node 6, node 2 and node 4
(III) Node 8 with respect to the whole tree structure
(ii)Write the output generated when the tree is traversed using a p

    Viewed:  830  times

  Share in:
        

Question Answer:





Questions List:

1. Outline four circumstances that would necessitate the development of a program in an organization.
2. John compiled a program written using a structured programming language. Outline four activities that would occur during this process
3. Describe the type of translator required for each of the following programming language (a)High level language (b)Assembly language.
4. Explain each of the following terms as used in programming. (4 marks) (a)Scope of a variable (b)Built-in-function.
5. Differentiate between selection and bubble sort techniques as used in programming.
6. Outline four reasons for the popularity of C programming.
7. Write the output generated when each of the following program segments codes in c program are executed. (4 marks) (a)int i,j; i=7; i+=2; j=sqrt(i); printf (“value of i is %d and the value of j is %d”,i,j); (b)int x,y; x=5; y=abs(6-x*2); printf(“value of x is %d and the value of y is %d”,x,y);
8. Outline four circumstances that may necessitate program maintenance
9. Jane was tasked with the preparation of documentation for a program she had developed. Outline four factors that she should consider when preparing this document
10. Outline the purpose of each of the following file function commands as used in C programming language: (a)getw() (b)fprintf() (c)fseek() (d)putch()
11. Explain the term dry running as used in programming
12. (a)Describe each of the following type of programming (4 marks) (i)Unit (ii)System.
13. Figure 1 shows a binary tree drawn by a student during a lesson. Use it to answer the question that follows. (i)State the relationship that exists in each of the following nodes: (I)Node 2 and node 9 with respect to node 6; (II)Node 3 with respect to node 6, node 2 and node 4 (III) Node 8 with respect to the whole tree structure (ii)Write the output generated when the tree is traversed using a p
14. Write a C program that prompts a user to enter two numbers and then output the greater of the two numbers.
15. Outline three challenges of using scanf() to capture data in C programming language.
16. Differentiate between dynamic and static array data structures.
17. Write a c program that prompts user to enter a character. The program then displays a message “it is vowel” if the character is a vowel, otherwise “Not vowel”. Use switch statement
18. John opted to use a pointer when creating a data structure. Outline three benefits of this approach
19. Outline two reasons of closing a file as soon as the file operation are done
20. Explain the use of a default statement in control structures
21. Write a C program that would prompt a user to enter a number. The program then computes and displays the cubes of the number through the use of a function
22. Write a program that prompt a user to enter 10 numeric values into an array. The program the computes the average of the values and display the result.
23. Outline four merits of using flowcharts during program design
24. Write a C program segment that assigns a numeric value 16 to an integer variable x through a pointer named prt.
25. The following is a segment code in a C program. Interpret the code.
26. Write a C program that would prompt a user to enter a distance in meters. The program then converts into kilometers and display the result
27. Outline four reasons for preparing documentation in all the stages of program development.
28. Ann, a programmer detected a logical error in a program. State two characteristics that the program exhibited for his conclusion.
29. Differentiate between user manual and technical manual as used in programming
30. Figure 2 shows a flowchart used to solve a particular problem. Use it to answer questions that follows Write a C program to implement the logic represented in figure 2.